2026年新高考等级赋分规则及计算公式
一、什么是新高考等级赋分制?
新高考赋分制是为了弥补不同科目难度差异而设立的一种分数转换制度。与传统直接比卷面分数的方式不同,新高考中的赋分制度是基于排名,将考生的卷面成绩转换为一个统一的“等级分数”,以便不同科目的考生成绩可以直接比较。
新高考3+1+2模式介绍
“3”:语文、数学、外语三门必考科目,采用卷面成绩直接计分。
“1”:从物理或历史中二选一作为首选科目,赋分采用等级赋分制。
“2”:从地理、政治、生物、化学四门中再选两门,进行等级赋分。
二、2026年新高考赋分是什么意思?
2026年新高考赋分是等级赋分制,指的是思想政治、地理、化学、生物这4个科目的成绩按等级赋分。具体情况如下:
基本原理:
新高考模式下,考生选考的这4个科目的原始成绩不具有可比性。因为不同科目的试题难度差异、报考相应学科的考生群体和考生人数不同。比如,某一年度化学试卷难度大,政治试卷简单,考政治的考生分数普遍比考化学的考生高,若直接将原始分相加计入总成绩,对考化学的考生不公平。所以采用赋分制来保证公平性。
赋分流程:
划分等级:将各科目考生的原始成绩从高到低划分为A、B、C、D、E共5个等级。各等级人数所占比例分别约为15%、35%、35%、13%和2%。不过不同省份可能会有细微的区别。
确定赋分区间:对应这5个等级,设定五个等级赋分区间,A等级为100-86分、B等级为85-71分、C等级为70-56分、D等级为55-41分、E等级为40-30分。
转换成绩:依据事先确定的比例,将考生在各等级内的原始成绩,依照转换公式,分别转换到对应的赋分区间,得到考生的赋分成绩。转换基数为实际参加该科目选择考的人数。
计算示例:
假设某同学地理科目卷面分为80分,按照其在该科目考生群体中的卷面分排位确定的等级为B等级,当次考试该科目B等级所对应的卷面分区间为85-71分;而B等级的等级分赋分区间为85-71分。通过相关公式进行计算,可得出该同学地理科目的等级分。但具体的计算公式较为复杂,不同地区可能会有一定差异。
三、2026年新高考等级赋分计算公式
新高考赋分的关键在于等级分计算公式。具体计算步骤如下:
1.科目内考生成绩排名:每一科目单独排名,考生的卷面成绩按照百分比分配等级。
2.按比例划分等级:根据考生成绩排名,将成绩划分为五个等级,分别是:
A等级:前15%(等级分数范围:100-86分)
B等级:35%(85-71分)
C等级:35%(70-56分)
D等级:13%(55-41分)
E等级:2%(40-30分)
3.确定原始分与等级分的上下限:每个等级中,考生的卷面成绩会有上下限。
4.应用等级赋分计算公式:
通过该公式,考生的原始卷面成绩可以被转换为相应的等级分。
四、哪个科目组合赋分更高?
在新高考的赋分制中,选对科目组合可以在一定程度上帮助考生获得更高的赋分。根据历年新高考赋分的数据和规律,以下两种科目组合在赋分上更有优势:
1. 物理+化学+生物组合(理科倾向)
物理、化学和生物是传统理科生的热门组合,具备以下优势:
关联性强:物理、化学、生物之间的知识点关联较多,学科相互促进,复习效率更高,容易拿高分。
专业选择广:这类组合适合报考大多数理工科专业,专业覆盖率高,对于将来填报志愿和就业方向十分有利。
竞争相对稳定:选物理的考生中,很多基础较好,因此整体竞争更加公平,容易通过努力提升排名。
2. 历史+政治+生物组合(文理平衡)
生物和政治这两门科目相对容易得分,适合想要稳扎稳打的考生。具体优势包括:
生物被称为理科中的文科:生物相对简单,题型固定,且考查知识点较为基础,考生更容易获得较高分数和名次。
政治容易复习:政治是一门通过背诵和理解即可获得较好成绩的学科,难度适中,适合考生在短期内提高分数。
适合报考综合性专业:该组合适合对文理均有兴趣的考生,有利于日后选择综合性较强的专业。
五、29省等级赋分规则和计算公式
1、3+3省份
3+3模式省份包括北京市、天津市、上海市、浙江省、山东省、海南省,这些省市赋分等级对照表如下:
北京市
北京教育考试院高招办有关负责人表示,等级性考试成绩以等级呈现,分为5等21级,等级根据原始分划定,成绩当年有效。等级性考试成绩由高到低分为A、B、C、D、E共5等,其中A等占15%,B等占40%,C等占30%,D等占14%,E等不超过1%,各等各级比例按最接近比例确定。等级性考试成绩在计入高校招生录取总成绩时,每科成绩由5等细化为21级。其中,A1为满分100分,E赋分40分,相邻两级之间的分差均为3分。

天津市
天津的赋分制度采用“3+3”模式,即除了语文、数学、外语这三门必考科目外,考生还需从物理、化学、生物、历史、政治、地理等六门科目中选择三门进行考试。赋分制度将考生的单科原始成绩进行全省排名,并根据排名将成绩划分为五个等级(a、b、c、d、e),每个等级再细分为多个小等级,共计21个等级。

上海市
等级性考试成绩以等级呈现,按获得该次考试有效成绩的考生(即缺考或未得分的考生除外)总数的相应比例划分等级,位次由高到低为A+、A、B+、B、B-、C+、C、C-、D+、D、E共五等11级,其中A+约占5%,A、B+、B、B-、C+、C、C-、D+各约占10%,D、E共约占15%,E为考试有效成绩低于标准分值或约占5%。

浙江省
将选考科目原始成绩按全省排名划分等级,共分为A、B、C、D、E五个大等级,其中前四个等级各有5个小档,每个等级对应不同的赋分范围。然后采用等比例转换公式计算考生最终成绩。

山东省
我省普通高中学业水平等级考试科目的计分规则为:将每门等级考试科目考生的原始成绩从高到低划分为A、B+、B、C+、C、D+、D、E共8个等级。参照正态分布原则,确定各等级人数所占比例分别为3%、7%、16%、24%、24%、16%、7%、3%。等级考试科目成绩计入考生总成绩时,将A至E等级内的考生原始成绩,依照等比例转换法则,分别转换到91-100、81-90、71-80、61-70、51-60、41-50、31-40、21-30八个分数区间,得到考生的等级成绩。
等级
人数比例
赋分区间
|
|
|
A | 3% | 91-100 |
B+ | 7% | 81-90 |
B | 16% | 71-80 |
C+ | 24% | 61-70 |
C | 24% | 51-60 |
D+ | 16% | 41-50 |
D | 7% | 31-40 |
E | 3% | 21-30 |
海南省
单科标准分转换
单科标准分包括:语文、数学、英语高考统考科目和思想政治、历史、地理、物理、化学、生物等6科普通高中学业水平选择性考试各科目的标准分。
根据标准正态分布常模量表,依照转换公式Ti=180+30×Zi,建立《标准分与百分等级对照表(单科)-分数区间[60,300]》。
(一)将学科全体考生的原始分数从大到小进行排序。
(二)计算小于或等于每个分数Xi的考生占该学科考生总数的百分比,从而求出每个分数Xi的百分等级Ri。
(三)查《标准分与百分等级对照表(单科)-分数区间[60,300]》,得到每个分数百分等级Ri对应的单科标准分Ti。
综合分转换
综合分是考生高考统考科目的标准分和选择性考试科目的标准分根据各自的权重加总后转换的标准分。
根据标准正态分布常模量表,依照转换公式Ti=500+100×Zi,建立《标准分与百分等级对照表(综合分)-分数区间[100,900]》。
(一)按照语文、数学、英语各科权重为1.5,其他各科目权重为1,计算每个考生的合成总分,计算公式为:
t=1.5×Tyw+1.5×Tsx+1.5×Tyy+Tx1+Tx2+Tx3
其中,Tyw、Tsx、Tyy、Tx1、Tx2、Tx3分别为语文、数学、英语、选考科目1、选考科目2和选考科目3的单科标准分。
(二)将全体考生的合成总分t从大到小进行排序。
(三)计算小于或等于每个合成总分ti的考生占考生总数的百分比,从而求出每个合成总分的百分等级Ri。
(四)查《标准分与百分等级对照表(综合分)-分数区间[100,900]》,得到每个合成总分百分等级Ri对应的综合标准分Ti。

2、3+1+2省份
3+1+2模式省份有:河北省、辽宁省、吉林省、黑龙江省、江苏省、安徽省、福建省、江西省、湖北省、湖南省、广东省、广西自治区、重庆市、贵州省、甘肃省、山西省、内蒙古自治区、河南省、四川省、云南省、陕西省、青海省、宁夏自治区。这些省份的赋分等级对照表基本相同。
(1)等级赋分办法
再选科目每科原始分满分100分,转换时以30分作为等级转换的赋分起点,满分100分。将考生每门再选科目的原始成绩从高到低划定为A、B、C、D、E五个等级,各等级人数所占比例分别约为15%、35%、35%、13%和2%。转换时,将A至E等级内的考生原始成绩,依照等比例转换法则,分别转换到100-86分、85-71分、70-56分、55-41分、40-30分五个等级分数区间。根据转换公式计算,四舍五入取整得到考生的等级成绩。再选科目成绩计入高考总成绩的等级比例和赋分区间如下:

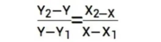
(2)等级赋分转换公式及计算举例

Y1、Y2分别表示某等级原始分数区间的下限和上限;X1、X2分别表示相应等级赋分区间的下限和上限;Y表示考生的原始成绩,X表示考生转换后的等级成绩。考生原始成绩正好为原始分数区间上限或下限时,不需要按转换公式计算,相应的赋分区间的上限或下限分数即为该考生的等级成绩。
结语
2026年新高考的赋分制度对选科有很大影响,考生在备考过程中需要充分了解赋分规则,并根据个人的兴趣、能力以及未来的职业规划选择合适的科目组合。合理的选科能够帮助考生最大化地发挥成绩优势,在激烈的高考竞争中脱颖而出。