云南省2026年艺术生省级统考分数段统计表(各类别)
云南省2026年普通高校招生艺术类专业省级统考各类别合格考生分数段统计表
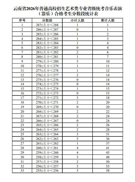
1.云南省艺术类专业省级统考音乐表演(器乐)合格考生分数段统计表
2.云南省艺术类专业省级统考音乐表演(声乐)合格考生分数段统计表
3.云南省艺术类专业省级统考音乐教育(器乐主项)合格考生分数段统计表
4.云南省艺术类专业省级统考音乐教育(声乐主项)合格考生分数段统计表
5.云南省艺术类专业省级统考表(导)演类(戏剧影视导演方向)合格考生分数段统计表
6.云南省艺术类专业省级统考表(导)演类(戏剧影视表演方向)合格考生分数段统计表
7.云南省艺术类专业省级统考表(导)演类(服装表演方向)合格考生分数段统计表
8.云南省艺术类专业省级统考舞蹈类合格考生分数段统计表
9.云南省艺术类专业省级统考美术与设计类合格考生分数段统计表
10.云南省艺术类专业省级统考播音与主持类合格考生分数段统计表
11.云南省艺术类专业省级统考书法类合格考生分数段统计表
上一篇:云南2026音乐艺考分数线成绩查询
下一篇:2026云南艺术类专业成绩合格线及成绩查询