2026年云南体育专业统考考生分数段统计表

2026年云南体育专业统考考生分数段统计表

云南省2026年体育专业统考合格考生分数段统计表

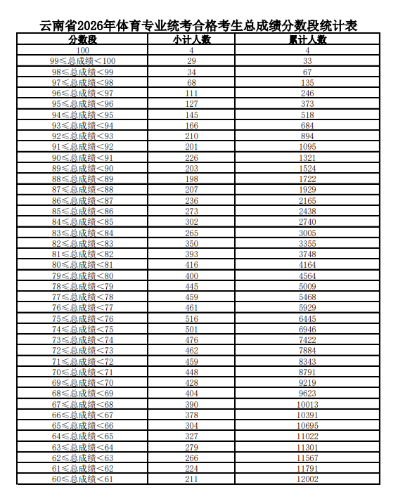
1.云南省2026年体育专业统考合格考生总成绩分数段统计表(点击查看)

2.云南省2026年体育专业统考合格考生足球专项成绩分数段统计表(点击查看)

1



相关内容